Publications
A collection of my research work.

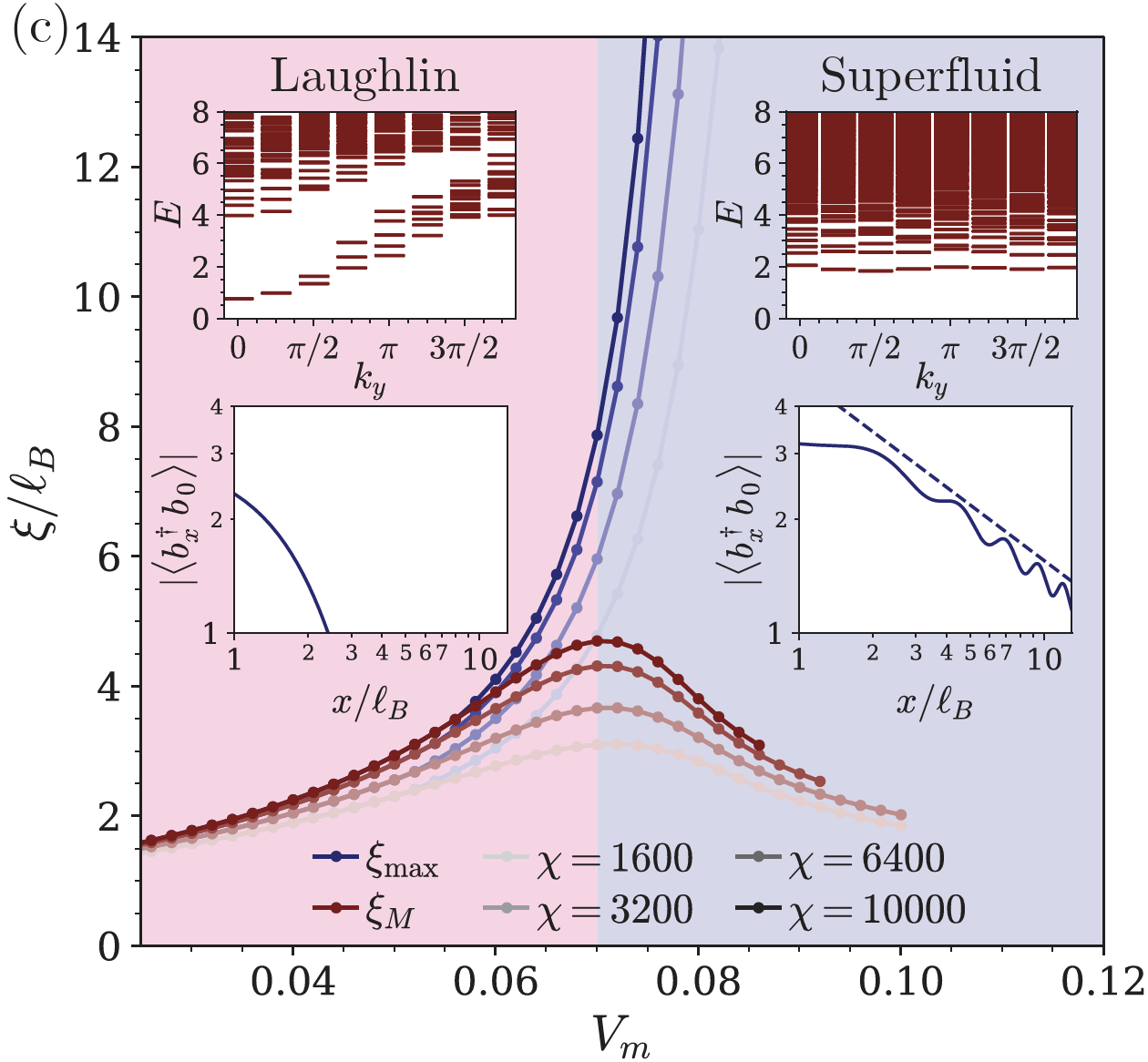
Emergent QED$_3$ at the bosonic Laughlin state to superfluid transition
Taige Wang, Xue-Yang Song, Michael P. Zaletel, T. Senthil
arXiv:2507.07611
Quantum phase transitions between topologically ordered and symmetry-broken phases lie beyond Landau theory.
Ferrofluids under oscillatory magnetic fields
Taige Wang, Kaiyuan Gu, Anzhou Wang, Zhentang Wang
arXiv:2512.20497
Ferrofluids exhibit two canonical interfacial instabilities, a static Rosensweig (normal-field) instability that produces a lattice of peaks and a dynamical Faraday instability that produces parametrically excited standing waves.
Visualizing interaction-driven restructuring of quantum Hall edge states
Jiachen Yu, Haotan Han, Kristina G. Wolinski, Ruihua Fan, Amir S. Mohammadi, Tianle Wang, Taige Wang, Liam Cohen, Kenji Watanabe, Takashi Taniguchi, Andrea F. Young, Michael P. Zaletel, Ali Yazdani
arXiv:2511.00156
Many topological phases host gapless boundary modes that can be dramatically modified by electronic interactions.
Enhanced shot noise in graphene quantum point contacts with electrostatic reconstruction
M. Garg, O. Maillet, N. L. Samuelson, T. Wang, J. Feng, L. A. Cohen, A. Zhang, K. Watanabe, T. Taniguchi, P. Roulleau, M. Sassetti, M. Zaletel, A. F. Young, D. Ferraro, P. Roche, F. D. Parmentier
arXiv:2503.17209
Shot noise measurements in quantum point contacts are a powerful tool to investigate charge transport in the integer and fractional quantum Hall regime, in particular to unveil the charge, quantum statistics and tunneling dynamics of edge excitations.
Anyon superfluidity of excitons in quantum Hall bilayers
Zhaoyu Han, Taige Wang, Zhihuan Dong, Michael P. Zaletel, Ashvin Vishwanath
arXiv:2508.14894
The charged anyons of a fractional quantum Hall fluid are necessarily dispersionless due to the continuous magnetic translation symmetry.
Anyon superfluid in trilayer quantum Hall systems
Taige Wang, Ya-Hui Zhang
arXiv:2508.00058
Intertwining intrinsic topological order with gapless collective modes remains a central challenge in many-body physics.

Chiral superconductivity near a fractional Chern insulator
Taige Wang, Michael P. Zaletel
arXiv:2507.07921
Superconductivity arising from fully spin-polarized, repulsively interacting electrons can host intrinsically chiral Cooper pairs and Majorana zero modes, yet no concrete microscopic route to such a state has been established.
Propagating Neutral Modes in an Intervalley Coherent State
Richen Xiong, Yi Guo, Chenxin Qin, Fanzhao Yin, Taige Wang, Samuel L. Brantly, Junhang Qi, Jinfei Zhou, Zihan Zhang, Melike Erdi, Kenji Watanabe, Takashi Taniguchi, Shu Zhang, Seth Ariel Tongay, Andrea F. Young, Liang Fu, Chenhao Jin
arXiv:2507.18770
The emergence of neutral collective modes is a hallmark of correlated quantum phases but is often challenging to probe experimentally.
Majorana edge reconstruction and the $nu=5/2$ non-Abelian thermal Hall puzzle
Tevž Lotrič, Taige Wang, Michael P. Zaletel, Steven H. Simon, S. A. Parameswaran
arXiv:2507.07161
Pioneering thermal transport measurements on two-dimensional electron gases in high magnetic fields have demonstrated that the quantized Hall state at filling factor $nu=5/2$ has a thermal Hall conductance $kappa$ quantized in half-integer multiples of $kappa_0 = pi^2 k_B^2 T/3h$.
Interacting Chern insulator transition on the sphere: revealing the Gross-Neveu-Yukawa criticality
Zhi-Qiang Gao, Taige Wang, Dung-Hai Lee
arXiv:2504.15338
In two spatial dimensions, the transition between topological and trivial Chern insulators exemplifies a class of beyond-Landau critical phenomena.

Entropy of strongly correlated electrons in a partially filled Landau level
Alexandre Assouline, Taige Wang, Heun Mo Yoo, Ruihua Fan, Fangyuan Yang, Ruining Zhang, Takashi Taniguchi, Kenji Watanabe, Michael P. Zaletel, Andrea F. Young
arXiv:2503.16738
We use high-resolution chemical potential measurements to extract the entropy of monolayer and bilayer graphene in the quantum Hall regime via the Maxwell relation $left.fracdmudTright|_N = -left.fracdSdNright|_T$.

Diverse magnetic orders and quantum anomalous Hall effect in twisted bilayer MoTe2 and WSe2
Taige Wang, Trithep Devakul, Michael P. Zaletel, Liang Fu
arXiv:2306.02501
Twisted homobilayer transition metal dichalcogenide (TMD) offers a versatile platform for exploring band topology, interaction-driven phases, and magnetic orders.
Topology, magnetism and charge order in twisted MoTe2 at higher integer hole fillings
Taige Wang, Minxuan Wang, Woochang Kim, Steven G. Louie, Liang Fu, Michael P. Zaletel
arXiv:2312.12531
Twisted homobilayer transition metal dichalcogenide (TMD) attracts an expanding experimental interest recently for exhibiting a variety of topological and magnetic states even at zero magnetic field.
Higher Hall conductivity from a single wave function: Obstructions to symmetry-preserving gapped edge of (2+1)D topological order
Ryohei Kobayashi, Taige Wang, Tomohiro Soejima, Roger S. K. Mong, Shinsei Ryu
Phys. Rev. B 111, 245136 (2025)
A (2+1)D topological ordered phase with U(1) symmetry may or may not have a symmetric gapped edge state, even if both thermal and electric Hall conductivity are vanishing.
High-Resolution Tunneling Spectroscopy of Fractional Quantum Hall States
Yuwen Hu, Yen-Chen Tsui, Minhao He, Umut Kamber, Taige Wang, Amir S. Mohammadi, Kenji Watanabe, Takashi Taniguchi, Zlatko Papic, Michael P. Zaletel, Ali Yazdani
Nat. Phys. 21, 716-723 (2025)
Strong interaction between electrons in two-dimensional systems in the presence of a high magnetic field gives rise to fractional quantum Hall states that host quasiparticles with fractional charge and fractional exchange statistics.
High spatial resolution charge sensing of quantum Hall states
Cheng-Li Chiu, Taige Wang, Ruihua Fan, Kenji Watanabe, Takashi Taniguchi, Xiaomeng Liu, Michael P. Zaletel, Ali Yazdani
Proc. Natl. Acad. Sci. U.S.A. 122 (8) e2424781122, (2025)
Charge distribution offers a unique fingerprint of important properties of electronic systems, including dielectric response, charge ordering and charge fractionalization.
Detecting axion dynamics on the surface of magnetic topological insulators
Zhi-Qiang Gao, Taige Wang, Michael P. Zaletel, Dung-Hai Lee
Physical Review B 111, 214407 (2025)
Axions, initially proposed to solve the strong CP problem, have recently gained attention in condensed matter physics, particularly in topological insulators.
Fermionic Isometric Tensor Network States in Two Dimensions
Zhehao Dai, Yantao Wu, Taige Wang, Michael P. Zaletel
Phys. Rev. Lett. 134, 026502 (2025)
We generalize isometric tensor network states to fermionic systems, paving the way for efficient adaptations of 1D tensor network algorithms to 2D fermionic systems.
Spontaneous localization at a potential saddle point from edge state reconstruction in a quantum Hall point contact
Liam A. Cohen, Noah L. Samuelson, Taige Wang, Kai Klocke, Cian C. Reeves, Takashi Taniguchi, Kenji Watanabe, Sagar Vijay, Michael P. Zaletel, Andrea F. Young
Phys. Rev. Lett. 134, 076302 (2025)
Quantum point contacts (QPCs) are an essential component in mesoscopic devices.
Anomalous Hall Crystals in Rhombohedral Multilayer Graphene II: General Mechanism and a Minimal Model
Tomohiro Soejima, Junkai Dong, Taige Wang, Tianle Wang, Michael P. Zaletel, Ashvin Vishwanath, Daniel E. Parker
Phys. Rev. B 110, 205124 (2024)
We propose a minimal "three-patch model" for the anomalous Hall crystal (AHC), a topological electronic state that spontaneously breaks both time-reversal symmetry and continuous translation symmetry.

Anomalous Hall Crystals in Rhombohedral Multilayer Graphene I: Interaction-Driven Chern Bands and Fractional Quantum Hall States at Zero Magnetic Field
Junkai Dong, Taige Wang, Tianle Wang, Tomohiro Soejima, Michael P. Zaletel, Ashvin Vishwanath, Daniel E. Parker
Phys. Rev. Lett. 133, 206503 (2024)
Recent experiments on rhombohedral pentalayer graphene flakes with a substrate induced moir'e potential have identified both Chern insulators and fractional Quantum Hall states in the absence of an applied magnetic field.
Electrical control of spin and valley in spin-orbit coupled graphene multilayers
Taige Wang, Marc Vila, Michael P. Zaletel, Shubhayu Chatterjee
Phys. Rev. Lett. 132, 116504 (2024)
Electrical control of magnetism has been a major techonogical pursuit of the spintronics community, owing to its far-reaching implications for data storage and transmission.
Direct observation of a magnetic field-induced Wigner crystal
Yen-Chen Tsui, Minhao He, Yuwen Hu, Ethan Lake, Taige Wang, Kenji Watanabe, Takashi Taniguchi, Michael P. Zaletel, Ali Yazdani
Nature 628, 287-292 (2024)
Eugene Wigner predicted long ago that when the Coulomb interactions between electrons become much stronger than their kinetic energy, electrons crystallize into a closely packed lattice.

Extracting higher central charge from a single wave function
Ryohei Kobayashi, Taige Wang, Tomohiro Soejima, Roger S. K. Mong, Shinsei Ryu
Phys. Rev. Lett. 132 (2024) 016602
A (2+1)D topologically ordered phase may or may not have a gappable edge, even if its chiral central charge $c_-$ is vanishing.
Energy gap of the even-denominator fractional quantum Hall state in bilayer graphene
Alexandre Assouline, Taige Wang, Haoxin Zhou, Liam A. Cohen, Fangyuan Yang, Ruining Zhang, Takashi Taniguchi, Kenji Watanabe, Roger S. K. Mong, Michael P. Zaletel, Andrea F. Young
Phys. Rev. Lett. 132, 046603 (2024)
Bernal bilayer graphene hosts even denominator fractional quantum Hall states thought to be described by a Pfaffian wave function with nonabelian quasiparticle excitations.
Quantum Magnetism in Wannier-Obstructed Mott Insulators
Xiao-Yang Huang, Taige Wang, Shang Liu, Hong-Ye Hu, Yi-Zhuang You
Crystals 2024, 14(2), 176
We develop a strong coupling approach towards quantum magnetism in Mott insulators for Wannier obstructed bands.
Nanoscale electrostatic control in ultra clean van der Waals heterostructures by local anodic oxidation of graphite gates
Liam A. Cohen, Noah L. Samuelson, Taige Wang, Kai Klocke, Cian C. Reeves, Takashi Taniguchi, Kenji Watanabe, Sagar Vijay, Michael P. Zaletel, Andrea F. Young
Nat. Phys. 19, 1502-1508 (2023)
In an all-van der Waals heterostructure, the active layer, gate dielectrics and gate electrodes are assembled from two-dimensional crystals that have a low density of atomic defects.

Theory of the microwave impedance microscopy of Chern insulators
Taige Wang, Chen Wu, Masataka Mogi, Minoru Kawamura, Yoshinori Tokura, Zhi-Xun Shen, Yi-Zhuang You, Monica T. Allen
Phys. Rev. B 108, 235432 (2023)
Microwave impedance microscopy (MIM) has been utilized to directly visualize topological edge states in many quantum materials, from quantum Hall systems to topological insulators, across the GHz regime.
Universal chiral Luttinger liquid behavior in a graphene fractional quantum Hall point contact
Liam A. Cohen, Noah L. Samuelson, Taige Wang, Takashi Taniguchi, Kenji Watanabe, Michael P. Zaletel, Andrea F. Young
Science 382, 542-547 (2023)
One dimensional conductors are described by Luttinger liquid theory, which predicts a power-law suppression of the density of states near the Fermi level.
Correlated metals and unconventional superconductivity in rhombohedral trilayer graphene: A renormalization group analysis
Da-Chuan Lu, Taige Wang, Shubhayu Chatterjee, Yi-Zhuang You
Phys. Rev. B 106, 155115 (2022)
Motivated by recent experimental observations of correlated metallic phases and superconductivity in rhombohedral trilayer graphene (RTG), we perform an unbiased study of electronic ordering instabilities in hole-doped RTG.
Inter-valley coherent order and isospin fluctuation mediated superconductivity in rhombohedral trilayer graphene
Shubhayu Chatterjee, Taige Wang, Erez Berg, Michael P. Zaletel
Nat. Commun. 13, 6013 (2022)
Superconductivity was recently discovered in rhombohedral trilayer graphene (RTG) in the absence of a moir'e potential.
Moir'e surface states and enhanced superconductivity in topological insulators
Taige Wang, Noah F. Q. Yuan, Liang Fu
Phys. Rev. X 11, 021024 (2021)
Recently, moir'e superlattices have been found on the surface of topological insulators (TI) due to the rotational misalignment of topmost layers.
Foliated fracton order in the Majorana checkerboard model
Taige Wang, Wilbur Shirley, Xie Chen
Phys. Rev. B 100, 085127 (2019)
We establish the presence of foliated fracton order in the Majorana checkerboard model.